米卡芬凈鈉
米卡芬凈鈉
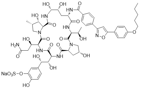
Micafungin Sodium
Chemical Name: Sodium5-[(1S,2S)-2-[(3S,6S,9S,11R,15S,18S,20R,21R,24S,25S,26S)-3-[(R)-2-carbamoyl-1-hydroxyethyl]-11,20,21,25-tetrahydroxy-15-[(R)-1-hydroxyethyl]-26-methyl-2,5,8,14,17,23-hexaoxo-18-[4-[5-(4-pentyoxyphenyl)isoxazol-3-yl]benzoylamino]-1,4,7,13,16,22-hexaazatricyclo[22.3.0.09.13]heptacos-6-yl]-1,2-dihydroxyethyl]-2-hydroxyphenyl sulfate
化學(xué)名: 5-((1S,2S)-2-((2R,6S, 9S,11R,12R,14aS,15S,16S,20S,23S,25aS)-20-((R)-3-氨基-1-羥基-3-羰基丙基)-2,11,12,15-四羥基-6-((R)-1-羥基乙基)-16-甲基-5,8,14,19,22,25-六氧代-9-(4-(5-(4-(戊氧基)苯基)異惡唑-3-基)苯甲酰氨基)二十四氫-1H-二吡咯并[2,1-c:2’,1’-1][1,4,7,10,13,16]六氮雜環(huán)二十一烷-23-基)-1,2-羥基乙基)-2-羥基苯基硫酸單酯鈉鹽
CAS: 208538-73-2
結(jié)構(gòu)式: 

用途: 抗真菌藥物
包裝: 1KGS/ bag

English

手機端